独立站新手卖家100问(2): 如何选品?

卖家成长
跨境电商从入门到精通
掰着手指数,距离今年的Prime Day开启只剩下不到72个小时了。
相较于往年,亚马逊卖家们对于今年的会员日活动,似乎缺少了那种热血沸腾的仪式感
。究其原因,大概是被没完没了的价格战磨得没了脾气
。
虽然嘴上不说,但卖家们心里都很清楚,根据往年的战况,Prime Day期间带动的销量是平日的数倍之多!去年的会员日受疫情影响推迟到了10月才开始,但最终销售额达到了104亿美元。

来源:Digital Commerce 360
而据Adobe预测,今年的Prime会员日销售额预计将超过110亿美元。因此,对卖家来说是不可能错过上半年最大规模的流量井喷机遇,和Prime Day有关的各项工作势必要做到一丝不苟,包括每一个细节都不可遗漏。
今天侃哥就来跟大家聊聊Prime Day开启前容易被卖家忽视的问题!同时也是比较纠结的事儿。如何利用最后这几天时间优化策略,尽可能提高我们在会员日的ROAS表现,正所谓临阵磨枪不快也光!

CPC成本上涨50%
如何精准计算会员日广告预算?
根据我们多年的观察,在所有的Prime Day准备工作中,有一点往往容易被卖家们所忽视,那就是精准计算会员日的广告预算!想必广告预算也是各位卖家朋友在prime day前夕最纠结的地方:预算给少了,会员日期间广告提前跑完,错失大把的流量;预算给多了,又担心广告费超标,继续给姐夫上天做贡献。
究竟怎样才能精准计算出适合自己的Prime Day广告预算呢?今天侃哥为大家带来了两件法宝!
首先,跟大家分享一组亚马逊广告的数据。
想必各位老铁今年都有一个比较深的体会,就是广告费水涨船高,那么究竟升了多少呢?根据Marketplace Pulse研究发现,截止6月9日,亚马逊广告的CPC(平均每次点击费用)上升至 1.20美元。较今年年初的0.93美元上涨了30%,较去年同期上涨超过50%。

来源:Marketplace Pulse
可以预见2021年的Prime Day广告CPC还会进一步攀升,大家都在加大站内广告的投入,因此对预算有限的中小卖家来说,就需要设置恰到好处的会员日广告预算。这样做的目的很明确,以最合理的方式增加会员日预算,把控广告成本,从而提升ROAS!
法宝1:目标订单倒推法
这个方法是根据卖家今年Prime Day制定的广告出单目标,结合该商品过往的转化率浮动及CPC浮动情况,反推出今年Prime Day的广告总预算,具体步骤如下:



公式难免有些枯燥,我们举个例子来看看更一目了然。(以下数据为虚拟,仅供举例用)
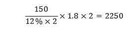
假设产品A的往年prime day转化率为22%,往年平日转化率为11%,由此得出产品A的往年prime day转化率浮动指数为:2。
假设产品A的往年prime day CPC为3.2美金,往年平日CPC为1.6美金,由此得出产品A的往年prime day CPC浮动指数为:2。
假设产品A今年的平日转化率为12%,今年平日CPC为1.8美金,卖家想在今年的prime day实现150单的广告订单目标,那么带入上面的公式后,得出今年产品A的prime day广告总预算为:2250美金.

备注:如果卖家的产品没有往年的prime day数据,则可以参考同类目竞品往年的CPC变化值。
法宝2:每日预算推理法
第二个方法是根据卖家往年Prime Day和平日每日预算的涨幅及平均CPC变化,来预估今年prime day的每日广告预算。



我们还是通过一个例子来看:(以下数据为虚拟,仅供举例用)
假设产品A往年Prime Day每日预算为100美金,往年平日每日预算为40美金,由此得出产品A的往年Prime Day每日预算增幅为:1.5.
假设产品A在2020年Prime Day当季度的平均CPC为7美金,2019年Prime Day当季度的平均CPC为5美金,由此得出产品A的Prime Day当季度平均CPC增幅为40%。
假设产品A今年的平日每日预算为50美金,那么带入上面的公式后,得出今年产品A的prime day每日预算为:175美金。

通过以上两种方法,大家结合自身产品情况,就能计算出prime day期间的广告预算,然后再观察主要竞争对手的广告变化情况,对照目前设置的预算值,进行合理的调整。这里需要特别提醒大家的是,在增加广告预算的时候,如果是自动广告或者手动宽泛的话,大概率是增大曝光,但是单量不会成比例增长(即优先给你扩词,而不是你期望的增加流量)。

会员日俘获潜在客户的新型武器
在Prime Day期间,估计大部分卖家的广告主阵地会集中在sponsored products这块。不过会员日期间,大家都在加预算和竞价,商品推广的竞争程度异常激烈。因此,有业内大神建议,其实卖家可以把一部分注意力转到sponsored display这块来。客观来讲,展示型推广目前的竞争程度,相比商品推广要低。
针对展示型推广的广告策略,大家除了可以利用熟知的再营销浏览定向(Views Remarketing),在Prime Day结束后抢回一些在大促里面丢掉的订单,如果再配上一定折扣的coupon,作为大促之后的追单效果是非常棒的。
接下来,划重点了!今天主要跟各位老铁介绍展示型推广的新功能:受众投放新选项—“亚马逊消费者”!

“亚马逊消费者”提供了数千个预先构建的细分受众群,帮助卖家准确定位目标人群,增加展示,从多个维度锁定新的潜在顾客。包含四个主要类别:场内客群、生活方式、兴趣、生活事件。

举个例子,比如你是一个做枕头的卖家,主要的产品线中包含旅行脖枕。那么我们就可以通过“受众投放新选项—亚马逊消费者”里的“生活事件”定向“即将旅行的受众”,以在Prime day期间触达有相关需求的受众并获得品牌新客。同时,卖家可以使用品牌新客 (NTB)和商品详情页浏览量 (DPV) 指标来衡量投放的效果。
好了,今天关于冲刺Prime day的几个广告技巧就跟各位先聊到这里,希望能够帮助大家拓宽站内广告的投放思路,通过精准卡控预算,俘获更多潜在客户,以实现高性价比的广告投放,最终提升我们在Prime day期间的ROAS表现。
就如同我们当年备战高考那样,在大促开启前的这两三天时间里,最适合做的工作就是查漏补缺了!希望各位卖家朋友利用最后这几天,再逐一检查Prime day的各项工作是否已经准备就绪,比如:促销价格是否符合亚马逊建议的最高要求;库存活动数量是否满足每个ASIN运行的最小数量;提报活动的ASIN是否有违规风险……
另外,在Prime day结束后,卖家还需要注意做一定的补单,来稳定产品的成交和转化数据,不要出现销量急剧下滑的趋势,这样一是对listing的权重有影响,还有可能因为订单短时间内急速上涨触发亚马逊审核。此外,还需要注意库存的情况,防止断货。
最后预祝各位卖家朋友在Prime day 都有钱赚!
我们建了一个亚马逊卖家交流群,里面不乏很多大卖家。
现在扫码回复“ 加群 ”,拉你进群。
热门文章
*30分钟更新一次







